Iranian Journal of War and Public Health

eISSN (English): 2980-969X
eISSN (Persian): 2008-2630
pISSN (Persian): 2008-2622
JMERC
0.5
Volume 17, Issue 2 (2025)                   Iran J War Public Health 2025, 17(2): 175-182 | Back to browse issues page

Print XML PDF HTML

Ethics code: IR.BMSU.BAQ.REC.1403.086


History

How to cite this article
Jabbari S, Arabfard M, Ghazvini A, Vahedi E, Shahriary A, Ghanei M. Integrated Framework for Evaluating Chronic Lung Injury Severity in Chemical Exposure Victims. Iran J War Public Health 2025; 17 (2) :175-182
URL: http://ijwph.ir/article-1-1595-en.html
Download citation:
BibTeX | RIS | EndNote | Medlars | ProCite | Reference Manager | RefWorks
Send citation to:

Rights and permissions
1- Chemical Injuries Research Center, Systems Biology and Poisonings Institute, Baqiyatallah University of Medical Sciences, Tehran, Iran
* Corresponding Author Address: Chemical Injuries Research Center, Systems Biology and Poisonings Institute, Baqiyatallah University of Medical Sciences, Sheikh Bahaei Street, Molasadra Boulevard, Tehran, Iran. Postal Code: 1435916471 (m.ghaneister@gmail.com)
Full-Text (HTML)   (143 Views)
Introduction
Chemical injuries refer to a set of disorders in the normal functioning of various body systems that occur following exposure to different harmful chemical agents, such as mustard gas. These agents can affect various organs, including the eyes, skin, blood, and kidneys [1, 2]. One of the most significant destructive effects of exposure to chemical agents is chronic lung tissue damage resulting from the inhalation of the harmful agent and the exposure of respiratory tract cells to these substances [3].
According to various studies, the quality of life of chemical victims is significantly lower compared to ordinary civilians, and the research and treatment approaches for the side effects experienced by chemical victims differ from those for other common respiratory diseases [4]. Although standard treatment methods used for obstructive lung diseases, such as asthma and chronic obstructive pulmonary disease (COPD), have been effective in improving the clinical condition of these patients, they are often unsuitable for chemical victims due to the different nature of the disease and the occurrence of side effects [5].
After a few minutes to a few hours of exposure to mustard gas, some pathological changes, including edema and erythema of the throat and bronchi, have been observed in individuals. After 24 to 48 hours, severe exposure to mustard gas can lead to hemorrhagic pulmonary edema, secondary pneumonia, and respiratory failure due to necrosis [6]. Respiratory infections leading to bronchopneumonia have been observed in veterans 36 to 48 hours after exposure to mustard gas [7]. Exposure to mustard gas can cause several pathological changes in the lungs, including airway inflammation, parenchymal tissue destruction, and airway obstruction, which may result in asthma-like symptoms or COPD. Lungs removed via thoracotomy from Iranian casualties of the Iran-Iraq War also showed bronchiectasis and severe chronic inflammation [8]. The bronchoscopic appearance of the airway mucosa—a combination of erythema, chronic inflammatory changes, and mucosal thickening—has been observed in all patients exposed to mustard gas [9]. A long-term cohort study (25 years) involving 7,570 Iranian veterans affected by mustard gas, which compared the incidence of various cancers with a control group, showed that the relative risk of developing malignant disorders for those exposed to mustard gas was 2.02. Furthermore, the cancer incidence rate in veterans exposed to mustard gas was nearly twice as high as that in non-smokers. The most common type of malignancy reported among the exposed individuals was squamous cell carcinoma [10].
According to available statistics, approximately 60,000 Iranians suffered chemical injuries from mustard gas during the Iran-Iraq War, of which about 34,000 experienced long-term complications due to this chemical agent. These individuals primarily require continuous treatment and long-term rehabilitation. One of the most significant and persistent complications of this type of injury is respiratory system disorders, which fundamentally differ from COPD and present specific complexities.
Developing a novel algorithm to assess the severity of chronic lung injury can have numerous positive impacts on medical resource management and clinical decision-making. In situations where chemically injured patients require specialized care, a rapid and accurate assessment of damage severity allows doctors to prioritize patient treatment appropriately. For example, patients with more severe injuries can be referred to specialized centers more quickly, while those with milder injuries may be treated with simpler interventions.
Additionally, using such an algorithm can aid in more precise clinical decision-making. By relying on the output of this system, doctors can design more appropriate treatment plans for patients. These plans may include pulmonary rehabilitation, medication, or specific interventions that correspond to the severity of the injury. Given the importance of the subject, the aim of the present study was to provide a framework for the diagnosis and assessment of the severity of chronic lung injury in chemical casualties.

Materials and Methods
Research design and setting
The present research was an applied evidence-based study conducted on patients visiting the pulmonary clinic of Baqiyatallah University of Medical Sciences in 2024.
Sample
The sample size was deemed sufficient to achieve the study objectives, with a model accuracy of 96% (p=0.96), a type I error (α) of 5% (Z=1.96), and an absolute error (d=0.1). Using the formula for estimating proportions in each group, n=(z2×p×(1-p))/d2, the required sample size was determined to be 15 chemically injured patients.
Inclusion and exclusion criteria
The inclusion criteria for the study required that the patient have documentation indicating chemical chronic lung injury confirmed by the Veterans Foundation, with a specified percentage of damage; exhibit respiratory symptoms consistent with chemical chronic lung injury, such as cough, sputum production, and shortness of breath; have a personal history file available detailing the course and severity of the lung disease; not have other comorbidities, such as cardiovascular problems, malignancies, or movement disorders, that could influence the results obtained from the questionnaires; not have a history of underlying pulmonary issues prior to exposure to chemical agents; not have any conditions that interfere with answering questions, such as dementia or memory disorders; and have given informed consent to participate in this study.
Exclusion criteria included the presence of a lung disease unrelated to chemical exposure (such as asthma), the presence of active malignancy, and severe cognitive impairment or mental disorders leading to memory problems.
Procedure
The first stage involved collecting tools available in reputable scientific sources for assessing the pulmonary status of patients with COPD through a systematic search, conducted under the supervision of the project leader, using relevant keywords related to pulmonary assessment in patients with obstructive symptoms. Subsequently, tools that assist in categorizing the severity of injury in these patients into four categories (mild, moderate, severe, and very severe) were selected.
In summary, considering the characteristics of each tool (for example, patient accessibility to the test, the cost of the test, the lack of need for specific physical conditions to perform the test, and the accuracy and sensitivity of the tool in question), an initial framework was developed under the supervision of pulmonary specialists involved in the study and at the chemical injury center. This framework utilized validated questionnaires with confirmed reliability and validity, as well as the results of the patient’s latest spirometry, to categorize patients into different groups based on the severity of the disease. The majority voting system was then employed for conclusions and overall categorization.
Finally, the performance of the developed framework was evaluated by examining 15 patients with varying degrees of chronic lung injury caused by the inhalation of chemical agents (with existing evidence of chemical injury), whose degree and severity of injury had previously been diagnosed using standard methods. The selection of these patients was performed selectively under the supervision of the research supervisor among patients with medical records in the chemical injuries department of Baqiyatallah Hospital. Data collection was carried out through interviews with patients conducted by an interviewer familiar with the disease symptoms and proficient in the questionnaire responses used in the framework.
Research tools
COPD Assessment Test (CAT): The CAT was first developed by Jones et al. in a group of 1,503 patients from six countries, and its reliability was also examined at that time. In the test-retest reproducibility section, an intraclass correlation coefficient of 0.8 was reported, and in the internal consistency section, a Cronbach’s alpha of 0.88 was reported [11]. The validity of this tool was evaluated by its founder in seven European countries, and a high correlation with the St. George’s Respiratory Questionnaire (SGRQ; r=0.88) was reported [12].
Clinical COPD Questionnaire (CCQ): The CCQ was first developed and designed to assess the clinical status of COPD patients by 77 international expert specialists through the examination of 119 COPD patients [13]. One of the important features of this test is the ease with which patients can respond to it, while also demonstrating a high correlation and association with the much more complex St. George’s Respiratory Questionnaire (SGRQ) and the CAT, as well as high reliability (0.84-0.94) [14].
Chronic Respiratory Disease Questionnaire (CRQ): This questionnaire was developed in 1987 by Guyatt et al. to assess the clinical status of patients with chronic lung conditions across four aspects: dyspnea, fatigue, psychological status, and sense of control over the disease [15]. The reliability of this test in the test-retest reproducibility section has been confirmed by various studies [16-18]. Additionally, in terms of internal consistency, it has demonstrated a very acceptable level of reliability [19, 20]. The validity of this tool has also been examined in terms of credibility, content validity, and concurrent validity in various studies [21-24].
Global Initiative for Obstructive Lung Disease (GOLD) Criteria: The GOLD criteria were first described by the Global Initiative for Chronic Obstructive Lung Disease in 2001 as a care tool for assessing and determining the severity of COPD. The initial GOLD 2001 criteria, as well as the 2006 update, were defined by the percentage of predicted FEV1 [25]. In this update, it was emphasized that the assessment of a patient with COPD should always include the evaluation of symptoms, the severity of airway obstruction, the history of exacerbations, and comorbidities [26].
To integrate the results of the parameters used in this framework, which includes three questionnaires (two questionnaires involved in the initial assessment and one questionnaire effective in follow-up assessments and monitoring disease progression) and one pulmonary function test (the measured FEV1 ratio to the predicted value), the proposed method is to aggregate the results using the Majority Voting algorithm to select and determine the final classification of the participant in terms of disease severity and its impact on individual health and quality of life. Statistical analysis was performed using SPSS 24.

Findings
A total of 15 individuals were included, all of whom were men. The youngest age among the patients participating in this study was 41 years, the oldest age was 78 years, and the average age of the participants was 57.2 years. According to the researcher’s classification, 46.7% of the patients were categorized in the moderate group, 33.3% in the severe group, and 20% in the mild group. Based on the CAT, 26.7% of the patients were classified in the mild group, 40% in the moderate group, and 33.3% in the severe group (Table 1).

Table 1. Frequency of descriptive information and classification of the patients


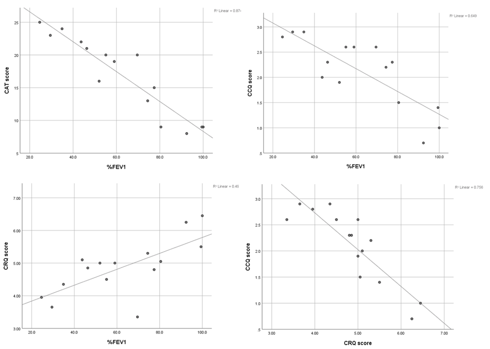
There was a very strong positive correlation between the classification of patients using the eight-question CAT and the classification of patients based on the clinical opinion of the treating physician and the patients’ records (r=0.95, p<0.001). There was also a strong and significant inverse correlation (r=-0.93, p<0.001) between the score obtained in this test and the results obtained in the pulmonary function test (the ratio of measured FEV1 to predicted FEV1). This means that as the CAT score increases, the ratio of measured FEV1 to predicted FEV1 decreases; conversely, as the CAT score decreases in patients, this ratio increases. The CCQ parameter of the questionnaire showed a strong positive correlation between the classification of patients based on the results of this parameter and the classification of patients based on the treating physician’s opinion and the degree of injury recorded in the patient’s file (r=0.72, p<0.001). There was also a strong inverse correlation between the final CCQ score and the ratio of measured FEV1 to predicted FEV1 (r=-0.86, p<0.001). A very strong and significant correlation was found between the scores obtained from the two mentioned parameters, namely CAT and CCQ (r=0.88, p<0.001). Additionally, the classification of the severity of patients’ disability based on the results obtained from these two standard questionnaires also showed a high correlation (Spearman correlation coefficient equivalent to r=0.78, p<0.001).
Between the CRQ score groups (divided based on 1-unit intervals) and disease severity according to the clinical opinion of the treating physician and the patient’s file (r=-0.66, p<0.001), as well as with the classification of patients based on the CCQ score (r=-0.72, p<0.001), a significant inverse correlation was observed. A strong inverse correlation was found between the numerical scores obtained through the CRQ and the scores of the CAT (r=-0.78, p<0.001) and CCQ (r=-0.87, p<0.001) (Table 2). From the comparison of patient scores in the CRQ with the paraclinical parameter of the measured FEV1 to the predicted value, a strongly significant positive correlation was obtained (r=0.70, p<0.001). Additionally, a very strong correlation was observed between the classification of disease severity based on the patients’ paraclinical tests using pulmonary function tests (PFT) and the classification of patients based on the clinical judgment of the treating physician and the severity of injury recorded in the patient’s file (r=0.94, p<0.001).

Table 2. Correlation between the results of the questionnaires used in the study


The consistency of the results obtained aligned with the results from patient records and the clinical judgment of the treating physician. By reviewing and interpreting the summarized results and the output of the Majority Voting logical operator, which classifies patients into four groups (mild, moderate, severe, and very severe) based on the CAT and CCQ results and the lung function test results (percentage of FEV1 measured to the predicted value), there was a very strong and high correlation between this classification and the classification based on the clinical opinion of the treating physician and the patients’ records (r=0.94, p<0.001; Figure 1).


Figure 1. Scatter plot of the correlation between the mentioned diagnostic parameters.

Discussion
This study aimed to provide a framework for the diagnosis and assessment of the severity of chronic lung injury in chemical casualties. The diagnosis and assessment of the severity of chronic lung injury in chemical casualties, as well as distinguishing it from other lung diseases, such as COPD, pose significant challenges in the medical field. Therefore, the relevant clinical guidelines provide criteria for the differential diagnosis of these diseases. Given the existing gaps, the aim of this study was to present a framework for the diagnosis and assessment of the severity of chronic lung injury in chemical casualties to assist physicians in clinical decision-making and improve the management of patients.
There was a strong correlation between the scores obtained from the CAT and CCQ. This result is consistent with the findings of the study by Tsiligianni et al. on 90 COPD patients, showing a high correlation between the results of these two tests [27]. Another study conducted by Miravitlles et al. in 2013 on 486 COPD patients during exacerbation and recovery also showed a strong correlation between the results of the CAT and CCQ [28]. In a study conducted by Sundh et al. in 2016, after examining 432 patients with COPD to compare the CAT and CCQ questionnaires, a very strong correlation between these two parameters was reported. They also demonstrate that a CAT score of 10 has a diagnostic value equivalent to a CCQ score of 1.29 [29]. The correlation between the results obtained from these two questionnaires in the present study is fully consistent with other reports that have been conducted previously, all indicating a high correlation between the results of these two parameters [30-33].
After examining the scores obtained from the CRQ by the patients participating in the study, a strong and significant inverse correlation was found between the numerical results of the CRQ and the CAT and CCQ. This result is consistent with the findings reported by Canavan et al., who examined the changes in outcomes of patients with chronic lung disease after rehabilitation. In Canavan et al. study, 138 COPD patients responded to the CCQ, CRQ, CAT, and SGRQ in the first phase before rehabilitation and were re-evaluated eight weeks after completing the rehabilitation period, aiming primarily to determine the Minimal Clinically Important Difference (MCID) of the CCQ. However, in the statistical analysis of the scores obtained in the first phase (Baseline), there is a strong correlation between the patients’ CCQ results and their CRQ results. Additionally, after completing the rehabilitation period, the changes in the CCQ test scores show the highest correlation with the changes in CRQ results among the three questionnaires [34].
The cross-sectional study by Ghobadi et al. on 105 patients with varying degrees of COPD shows a significant correlation between the numerical values of the CAT and the percentage of FEV1 in patients. A significant correlation is also reported between the score of this test and the forced vital capacity (FVC) levels of the patients [35]. Badr et al.'s study on sixty COPD patients reports a similar but weaker significant correlation compared to the previous study [36]. The study by Khyalappa & Thanekar in India demonstrates a very strong correlation between the results of the CAT and the percentage of FEV1, with the reported correlation coefficient being very similar to our results [37]. The results of numerous other studies also confirm the significant correlation between these two diagnostic parameters [38-40].
Regarding the correlation between the results of the CRQ and the measured FEV1 ratio to the predicted value, various studies have reported different outcomes. However, overall, the majority of articles indicate a lack of consistency between the quality of life assessed by the CRQ and respiratory function (measured based on spirometry and FEV1 values). Al Moamary & Tamim, in their study on 45 COPD patients to examine the reliability of the Arabic version of the CRQ-SAS questionnaire, report no correlation between the components of this questionnaire and the measured FEV1 percentage [41]. The results of a three-year study on 147 patients by Oga et al. showed that changes in quality of life over time have no correlation with individuals’ respiratory function. In this study, participants are periodically evaluated every six months using the CRQ test and respiratory tests (spirometry), and over the study period, the CRQ score decreases at a slower rate compared to the percentage of FEV1, but no significant correlation is found between the two [42]. The cross-sectional study by Hajiro et al. also indicates no significant correlation between the measured percentage of FEV1 and the predicted values of CRQ, while a weak correlation is reported with the St. George’s Respiratory Questionnaire score [43]. In another study, Hajiro et al. showed that there is a significant correlation between the measured FEV1 values and the score of the dyspnea subgroup in the CRQ, as well as the activity subgroup in the SGRQ [44].
The study by Gaude et al. on 66 patients showed that, in COPD patients, the measured percentage of FEV1 has little correlation with symptoms and quality of life, and it only has a significant correlation with the symptom section of the CCQ and the dyspnea section of the CRQ [45]. Another study that demonstrates a significant correlation between the CRQ and pulmonary function tests is the study by Guyatt et al., which followed and recorded the changes in 24 patients with COPD after using inhaled salbutamol and oral theophylline, reporting a correlation coefficient between the CRQ dyspnea section score and FEV1 values [46]. Therefore, based on the findings of similar studies on the relationship between these factors, it can be concluded that among the results of the three questionnaires used in this study and the results of the pulmonary function test, the strongest correlation exists between the CAT score and the predicted percentage of FEV1, followed by the correlation between the CCQ score and FEV1, while the weakest correlation is reported between the CRQ results and pulmonary function.
The difference in the results of the mentioned studies compared to our findings may have two main reasons. First, in the mentioned studies, the presence of a significant correlation between changes in FEV1 values and changes in patient questionnaire scores following therapeutic interventions or pulmonary rehabilitation was often examined. In contrast, the present study compared the baseline values of these two parameters cross-sectionally. As previously explained, based on earlier studies, lung function following pulmonary rehabilitation shows slow and gradual changes, whereas the symptoms of the disease and the quality of life of patients exhibit more significant and noticeable changes. Second, the participants in the present study were 15 patients with chemical injuries, chronic pulmonary complications, and lung dysfunction, who were approved by the Veterans Foundation and, after an outpatient visit to the medical center, were under the supervision of a pulmonology specialist and selectively interviewed. Therefore, a large number of non-chemical injury COPD patients were not included in this study. The present study has limitations. The small number of samples is clearly evident, and to confirm the findings obtained, a larger statistical population and a bigger study sample are needed. On the other hand, the accepted criterion in this study for comparing the obtained data is the opinion of the treating physician based on the patients’ clinical status and disease progression, as well as the conducted paraclinical studies. It is evident that one of the main limitations of these studies is the performance of spirometry tests, which can influence the physician’s clinical judgment. As mentioned, one of the parameters of this initially designed algorithm is the result of the last spirometry test, particularly the measured FEV1 to predicted ratio; therefore, the possibility of error here is predictable.
This study, by providing a framework based on the CAT, CCQ, and CRQ, as well as the pulmonary function test (FEV1), was able to accurately assess the severity of chronic lung injury in chemical casualties. The results showed that most patients fell into the moderate to severe categories, and the tools used demonstrated a strong correlation with the physician’s clinical judgment. The majority voting system provided a more precise classification and assisted doctors in clinical decision-making. This framework can be utilized as an effective tool for rapid diagnosis and better management of chemically injured patients.

Conclusion
The used framework is an effective tool for the rapid and accurate assessment of the severity of chronic lung injury in chemical casualties.

Acknowledgments: Support from the ‘Chemical Injuries Research Center, Systems Biology and Poisonings Institute, Baqiyatallah University of Medical Sciences, Tehran, Iran’ is gratefully acknowledged (Ref. ID: IR.BMSU.BAQ.REC.1403.086).
Ethical Permissions: The protocol for this study was approved by the Research Ethics Committee of Baqiyatallah University of Medical Sciences (Approval ID: IR.BMSU.BAQ.REC.1403.086).
Conflicts of Interests: The authors declared no competing interests.
Authors' Contribution: Jabbari Sh (First Author), Introduction Writer/Discussion Writer/Statistical Analyst (30%); Arabfard M (Second Author), Methodologist/Main Researcher/Discussion Writer/Statistical Analyst (20%); Ghazvini A (Third Author), Discussion Writer (10%); Vahedi E (Fourth Author), Discussion Writer (10%); Shahriary A (Fifth Author), Discussion Writer (10%); Ghanei M (Sixth Author), Introduction Writer/Assistant Researcher/Discussion Writer (20%)
Funding/Support: None.
Keywords:

References
1. Wattana M, Bey T. Mustard gas or sulfur mustard: An old chemical agent as a new terrorist threat. Prehosp Disaster Med. 2009;24(1):19-29. [Link] [DOI:10.1017/S1049023X0000649X]
2. Turini S. Biological activity of the products of interaction of mustard gas with human skin tissues. Middle East J Appl Sci Technol. 2024;7(1):13-103. [Link] [DOI:10.46431/MEJAST.2024.7103]
3. Dubey S, Yu Z, Stephens EM, Lazrak A, Ahmad I, Aggarwal S, et al. Oxidative injury to lung mitochondrial DNA is a key contributor to the development of chemical lung injury. BioRxiv 624949 [Preprint]. 2024 [cited 2024, November, 25]. Available from: https://www.biorxiv.org/content/10.1101/2024.11.22.624949v1. [Link] [DOI:10.1101/2024.11.22.624949]
4. Muhammad BA, Hama SA, Hawrami KAM, Karim SH, Ahmed GS, Rahim HM. Long-term health complications of chemical weapon exposure: A study on Halabja chemical attack survivors (Iraqi Kurds). Inhal Toxicol. 2024;36(1):26-30. [Link] [DOI:10.1080/08958378.2024.2301985]
5. Beheshti J, Mark EJ, Akbaei HM, Aslani J, Ghanei M. Mustard lung secrets: Long term clinicopathological study following mustard gas exposure. Pathol Res Pract. 2006;202(10):739-44. [Link] [DOI:10.1016/j.prp.2006.04.008]
6. Ghanei M, Akhlaghpoor S, Moahammad MM, Aslani J. Tracheobronchial stenosis following sulfur mustard inhalation. Inhal Toxicol. 2004;16(13):845-9. [Link] [DOI:10.1080/08958370490506682]
7. Balali-Mood M, Hefazi M. The pharmacology, toxicology, and medical treatment of sulphur mustard poisoning. Fundam Clin Pharmacol. 2005;19(3):297-315. [Link] [DOI:10.1111/j.1472-8206.2005.00325.x]
8. Balali‐Mood M, Hefazi M. Comparison of early and late toxic effects of sulfur mustard in Iranian veterans. Basic Clin Pharmacol Toxicol. 2006;99(4):273-82. [Link] [DOI:10.1111/j.1742-7843.2006.pto_429.x]
9. Emad A, Rezaian GR. The diversity of the effects of sulfur mustard gas inhalation on respiratory system 10 years after a single, heavy exposure: Analysis of 197 cases. Chest. 1997;112(3):734-8. [Link] [DOI:10.1378/chest.112.3.734]
10. Zafarghandi MR, Soroush MR, Mahmoodi M, Naieni KH, Ardalan A, Dolatyari A, et al. Incidence of cancer in Iranian sulfur mustard exposed veterans: A long-term follow-up cohort study. Cancer Causes Control. 2013;24(1):99-105. [Link] [DOI:10.1007/s10552-012-0094-8]
11. Jones PW, Harding G, Berry P, Wiklund I, Chen WH, Kline Leidy N. Development and first validation of the COPD Assessment Test. Eur Respir J. 2009;34(3):648-54. [Link] [DOI:10.1183/09031936.00102509]
12. Jones PW, Brusselle G, Dal Negro RW, Ferrer M, Kardos P, Levy ML, et al. Properties of the COPD assessment test in a cross-sectional European study. Eur Respir J. 2011;38(1):29-35. [Link] [DOI:10.1183/09031936.00177210]
13. Van Der Molen T, Willemse BW, Schokker S, Ten Hacken NH, Postma DS, Juniper EF. Development, validity and responsiveness of the Clinical COPD Questionnaire. Health Qual Life Outcomes. 2003;1:13. [Link] [DOI:10.1186/1477-7525-1-13]
14. Zhou Z, Zhou A, Zhao Y, Chen P. Evaluating the clinical COPD uestionnaire: A systematic review. Respirology. 2017;22(2):251-62. [Link] [DOI:10.1111/resp.12970]
15. Guyatt GH, Berman LB, Townsend M, Pugsley SO, Chambers LW. A measure of quality of life for clinical trials in chronic lung disease. Thorax. 1987;42(10):773-8. [Link] [DOI:10.1136/thx.42.10.773]
16. Martin LL. Validity and reliability of a quality-of-life instrument: The chronic respiratory disease questionnaire. Clin Nurs Res. 1994;3(2):146-56. [Link] [DOI:10.1177/105477389400300207]
17. Larson J, Covey M, Berry J, Wirtz S, Kim M, editors. Reliability and validity of the chronic respiratory disease questionnaire. New York: American Review of Respiratory Disease; 1993. [Link]
18. Wijkstra PJ, TenVergert EM, Van Altena R, Otten V, Postma DS, Kraan J, et al. Reliability and validity of the chronic respiratory questionnaire (CRQ). Thorax. 1994;49(5):465-7. [Link] [DOI:10.1136/thx.49.5.465]
19. Harper R, Brazier JE, Waterhouse JC, Walters SJ, Jones NM, Howard P. Comparison of outcome measures for patients with chronic obstructive pulmonary disease (COPD) in an outpatient setting. Thorax. 1997;52(10):879-87. [Link] [DOI:10.1136/thx.52.10.879]
20. Güell R, Casan P, Sangenís M, Sentís J, Morante F, Borras J, et al. Spanish translation and validation of a quality-of-life questionnaire for patients with chronic obstructive pulmonary disease. ARCHIVOS DE BRONCONEUMOLOGÍA. 1995;31(5):202-10. [Spanish] [Link] [DOI:10.1016/S0300-2896(15)30925-X]
21. Guyatt GH, King DR, Feeny DH, Stubbing D, Goldstein RS. Generic and specific measurement of health-related quality of life in a clinical trial of respiratory rehabilitation. J Clin Epidemiol. 1999;52(3):187-92. [Link] [DOI:10.1016/S0895-4356(98)00157-7]
22. Guyatt GH, Townsend M, Keller JL, Singer J. Should study subjects see their previous responses: Data from a randomized control trial. J Clin Epidemiol. 1989;42(9):913-20. [Link] [DOI:10.1016/0895-4356(89)90105-4]
23. Lacasse Y, Wong E, Guyatt G. A systematic overview of the measurement properties of the Chronic Respiratory Questionnaire. Can Respir J. 1997;4(3):131-9. [Link] [DOI:10.1155/1997/717139]
24. Moran LA, Guyatt GH, Norman GR. Establishing the minimal number of items for a responsive, valid, health-related quality of life instrument. J Clin Epidemiol. 2001;54(6):571-9. [Link] [DOI:10.1016/S0895-4356(00)00342-5]
25. Rabe KF, Hurd S, Anzueto A, Barnes PJ, Buist SA, Calverley P, et al. Global strategy for the diagnosis, management, and prevention of chronic obstructive pulmonary disease: GOLD executive summary. Am J Respir Crit Care Med. 2007;176(6):532-55. [Link] [DOI:10.1164/rccm.200703-456SO]
26. Vestbo J, Hurd SS, Agustí AG, Jones PW, Vogelmeier C, Anzueto A, et al. Global strategy for the diagnosis, management, and prevention of chronic obstructive pulmonary disease: GOLD executive summary. Am J Respir Crit Care Med. 2013;187(4):347-65. [Link] [DOI:10.1164/rccm.201204-0596PP]
27. Tsiligianni IG, Van Der Molen T, Moraitaki D, Lopez I, Kocks JW, Karagiannis K, et al. Assessing health status in COPD. A head-to-head comparison between the COPD assessment test (CAT) and the clinical COPD questionnaire (CCQ). BMC Pulm Med. 2012;12:20. [Link] [DOI:10.1186/1471-2466-12-20]
28. Miravitlles M, García-Sidro P, Fernández-Nistal A, Buendía MJ, Espinosa De Los Monteros MJ, Molina J. Course of COPD assessment test (CAT) and clinical COPD questionnaire (CCQ) scores during recovery from exacerbations of chronic obstructive pulmonary disease. Health Qual Life Outcomes. 2013;11:147. [Link] [DOI:10.1186/1477-7525-11-147]
29. Sundh J, Ställberg B, Lisspers K, Kämpe M, Janson C, Montgomery S. Comparison of the COPD Assessment Test (CAT) and the Clinical COPD Questionnaire (CCQ) in a clinical population. COPD. 2016;13(1):57-65. [Link] [DOI:10.3109/15412555.2015.1043426]
30. Ringbaek T, Martinez G, Lange P. A comparison of the assessment of quality of life with CAT, CCQ, and SGRQ in COPD patients participating in pulmonary rehabilitation. COPD. 2012;9(1):12-5. [Link] [DOI:10.3109/15412555.2011.630248]
31. Zhou Z, Zhou A, Zhao Y, Duan J, Chen P. A comparison of the assessment of health status between CCQ and CAT in a Chinese COPD clinical population: A cross-sectional analysis. Int J Chron Obstruct Pulmon Dis. 2018;13:1675-82. [Link] [DOI:10.2147/COPD.S161225]
32. Daga MK, Mawari G, Singh S, Walad S, Khubiyal S, Bharali D, et al. Correlation of CAT, CCQ, and mMRC scores in patients with COPD with exacerbation and after treatment. J Clin Diagn Res. 2020;14(9). [Link] [DOI:10.7860/JCDR/2020/44301.13927]
33. Tan M, Jian W, Liang Q, Li S, Cui H. Comparison of different evaluation systems for assessing disease severity and treatment efficacy in patients with chronic obstructive pulmonary disease. J South Med Univ. 2021;41(7):1119-24. [Chinese] [Link]
34. Canavan JL, Dilaver D, Clark AL, Jones SE, Nolan CM, Kon SS, et al. Clinical COPD questionnaire in patients with chronic respiratory disease. Respirology. 2014;19(7):1006-12. [Link] [DOI:10.1111/resp.12350]
35. Ghobadi H, Ahari SS, Kameli A, Lari SM. The relationship between COPD assessment test (CAT) scores and severity of airflow obstruction in stable COPD patients. TANAFFOS. 2012;11(2):22-6. [Link]
36. Badr NM, Elrefaey BH, El-Hadidy HA, Moussa HA. Correlation of forced expiratory volume in one second and COPD Assessment Test Scores in chronic obstructive pulmonary disease patients. J Adv Pharm Educ Res. 2019;9(1):49-52. [Link]
37. Khyalappa R, Thanekar S. Use of CAT score & it's correlation with spirometry in stable COPD patients. J Adv Med Dent Sci Res. 2019;7(1):72-5. [Link]
38. Miravitlles M, Koblizek V, Esquinas C, Milenkovic B, Barczyk A, Tkacova R, et al. Determinants of CAT (COPD Assessment Test) scores in a population of patients with COPD in Central and Eastern Europe: The POPE study. Respir Med. 2019;150:141-8. [Link] [DOI:10.1016/j.rmed.2019.03.007]
39. Carvalho-Jr LCS, Trimer R, Arêas GP, Caruso FC, Zangrando KT, Jürgensen SP, et al. COPD assessment test and FEV1: Do they predict oxygen uptake in COPD?. Int J COPD. 2018;2018:3149-56. [Link] [DOI:10.2147/COPD.S167369]
40. Varol Y, Ozacar R, Balci G, Usta L, Taymaz Z. Assessing the effectiveness of the COPD Assessment Test (CAT) to evaluate COPD severity and exacerbation rates. COPD. 2014;11(2):221-5. [Link] [DOI:10.3109/15412555.2013.836169]
41. Al Moamary MS, Tamim HM. The reliability of an Arabic version of the self-administered standardized chronic respiratory disease questionnaire (CRQ-SAS). BMC Pulm Med. 2011;11:21. [Link] [DOI:10.1186/1471-2466-11-21]
42. Oga T, Nishimura K, Tsukino M, Hajiro T, Sato S, Ikeda A, et al. Longitudinal changes in health status using the chronic respiratory disease questionnaire and pulmonary function in patients with stable chronic obstructive pulmonary disease. Qual Life Res. 2004;13(6):1109-16. [Link] [DOI:10.1023/B:QURE.0000031345.56580.6a]
43. Hajiro T, Nishimura K, Jones PW, Tsukino M, Ikeda A, Koyama H, et al. A novel, short, and simple questionnaire to measure health-related quality of life in patients with chronic obstructive pulmonary disease. Am J Respir Crit Care Med. 1999;159(6):1874-8. [Link] [DOI:10.1164/ajrccm.159.6.9807097]
44. Hajiro T, Nishimura K, Tsukino M, Ikeda A, Koyama H, Izumi T. Analysis of clinical methods used to evaluate dyspnea in patients with chronic obstructive pulmonary disease. Am J Respir Crit Care Med. 1998;158(4):1185-9. [Link] [DOI:10.1164/ajrccm.158.4.9802091]
45. Gaude GS, Lolly M, Hattiholi J, Patil B. Reliability and validity of clinical COPD questionnaire and chronic respiratory questionnaire in patients with COPD using tiotropium over a period of 26 weeks. Indian J Chest Dis Allied Sci. 2020;62:197-201. [Link] [DOI:10.5005/ijcdas-62-4-197]
46. Guyatt G, Townsend M, Keller J, Singer J, Nogradi S. Measuring functional status in chronic lung disease: Conclusions from a randomized control trial. Respir Med. 1989;83(4):293-7. [Link] [DOI:10.1016/S0954-6111(89)80199-4]

Add your comments about this article : Your username or Email:
CAPTCHA